
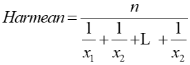
| 名称 | 类型 | 说明 |
|---|---|---|
| Data | Array of Real | 存放实数的数组 |
| RC | Int | 可选参数,行列选择:0求列调和平均数;1求行调和平均数;默认为0 |
| ML | Int | 可选参数,移动步长,默认不移动 |
| ASSIGN | Int | 可选参数,对字段筛选,指定某些行列,求其调和平均数;默认全部 |
| ABNORMAL | Int | 可选参数,异常处理参数,按照存储位来进行管理:
第一位管理的是是否忽略字符串异常值(这里nil值是默认跳过的), 第三位管的是计算移动长度的时候,nil值及字符串是否包括在内。 这样的话: 0表示一般处理,即字符串报错(默认情况); 1表示,字符串不报错; 4表示字符串报错,计算移动单位时忽略nil值; 5表示字符串也不报错,计算移动单位时忽略nil值和字符串值; |
| FILL | Any | 可选参数,data 为空时的返回 |
| 返回 | Real or Array | 调和平均数 |