天软金融分析.NET函数大全 > TSL函数 > 数学函数 > 一般统计量

PopnVariance    

简述
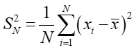
计算一组数据的总体方差,数学公式:
定义
PopnVariance(Data: Array of Real):Real;
参数
名称类型说明
Data Array of Real存放实数的数组
返回Real总体方差
  • 范例

    范例01:一维数组求总体方差
    a:=array(5.3,3.9,5.6,5,7.5,7.6);
    return PopnVariance(a);
    //结果:1.77805555555555

    范例02:二维数组指定列+指定步长计算总体方差
    arr:=rand(10,array("A","B"));
    ml:=length(arr); //移动步长--指定大于等于总长度数,则统计从首行到当前行的区间
    arr[:,"A-总体方差"]:=popnVariance(arr,0,ml,"A");
    return arr;

    结果:
    参考
    统计函数功能拓展 StdDev PopnStdDev Variance 
相关