TSL语言基础
>
数学与统计教程
>
时间序列分析
>
协整分析
误差修正模型
复制链接
两变量间的误差修正模型,准确的刻画了两序列间的短期波动特征
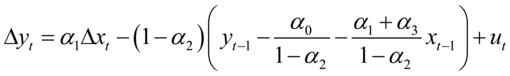
误差修正模型是时间序列间协整关系的主要表现形式,准确的刻画了序列间的长期均衡关系和短期波动特征。设一阶自回归分布滞后模型为:
其中,
是均值为零,方差为
的白噪声,进行适当的整理有:
其中
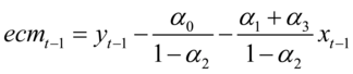
若记
称为误差修正项。误差修正模型表明被解释变量的变动
主要受解释变量的变动
和误差修正项
的影响。误差修正模型的优点在于将变量的水平值和差分值结合起来,从而将变量之间的长期表现和短期效应结合于一个模型之中。
误差修正模型
:
Times_ECM
相关
DF检验
ADF检验
协整分析
误差修正模型
Granger因果检验