TSL语言基础 > 数学与统计教程 > 统计推断 > 参数的假设检验

两正态总体参数的检验    

  •   Both假设:,left假设:,right假设:
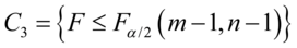
      根据6.1.2节以及7.2.1节,我们可以得到他们的拒绝域。

    两个正态总体均值差的检验Hypoth_TNUTest

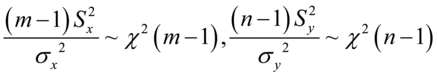
      ,两个样本的容量都是m,n.
      
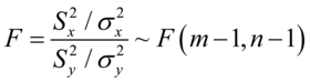
      两样本相互独立我们可以得到:          (6.13)
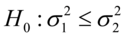
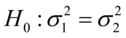
    Both假设:;left假设:;right假设:
      
      Both假设的拒绝域是
      Right假设的拒绝域是
      Left假设的拒绝域是

    两个正态总体方差比的F检验模型Hypoth_TNDTest
相关