GM_Scorr
简述
灰色绝对关联度、灰色相对关联度和灰色综合关联度,返回的是关联度矩阵

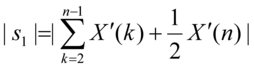
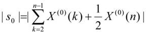
,

,
1)灰色绝对关联度:
2)灰色相对关联度:先对数列进行初值化,然后求新数列的灰色绝对关联度,即为原数列的灰色相对关联度
3)灰色综合关联度:

GM_SCorr(X:Array of Real;Method:String):array
| 名称 | 类型 | 说明 |
|---|
| X | Array of Real | 数据矩阵,为二维数组类型; |
| Method | String | 方法(abs,ret,com),为字符串类型; |
灰色绝对关联度: TSL代码如下
x:=array((1,2,3),(2,3,4));
return GM_SCorr(x,"abs");
结果:
灰色相对关联度: TSL代码如下
x:=array((1,2,3),(2,3,4));
return GM_SCorr(x,"ret");
结果:
灰色综合关联度: TSL代码如下
x:=array((1,2,3),(2,3,4));
return GM_SCorr(x,"com");
结果:
GM_Initial GM_Corr GM_AGO GM_Icorr GM_Estimate