天软金融分析.NET函数大全
>
TSL函数
>
数学函数
>
灰色系统
GM_Corr
复制链接
简述
灰色关联度,以l行为参考数列的灰色关联度,返回的是关联度矩阵
,
,
以
为参考数列,则关联度计算步骤如下:
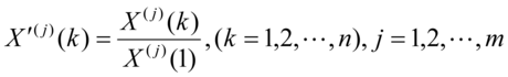
1)初值化:
;
2)求差数列:
,
3)求两级最大和最小:
,
4)求关联系数:
,
为分辨系数,是0到1之间的数
5)求关联度:
定义
GM_Corr(X:Matrix;L:Integer):array
参数
名称
类型
说明
X
Matrix
数据矩阵,为二维数组类型;
l
Integer
参考序列标号,为整数类型
范例
x:=array((1,2,3),(2,3,4));
return GM_Corr(x,0);
结果:
参考
GM_Initial
GM_AGO
GM_Icorr
GM_Scorr
GM_Estimate
相关
GM_Initial
GM_Corr
GM_AGO
GM_Icorr
GM_Scorr