天软金融分析.NET函数大全 > TSL函数 > 数学函数 > 统计推断

Anova_Twice    

简述
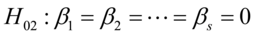
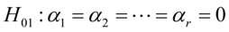
在1-alpha的置信水平下,进行双因子方差分析,假设每一种情况都服从一个正态分布,且方差相等,数据独立,判断各水平的均值是否显著相等
模型表达:
有A,B两个因素,因素A有r个水平,B有s个水平,对于A,B每一个组合(Ai,Bj)都进行t次试验,得到结果:
因素B 因素A B1 B2 Bs
A1 X111, X112,…,X11t X121, X122,…,X12t X1s1, X1s2,…,X1st
A2 X211, X212,…, X21t X221, X222,…, X22t X2s1, X2s2,…, X2st
Ar Xr11, Xr12,…, Xr1t Xr21, Xr22,…, Xr2t Xrs1, Xrs2,…, Xrst

设:且相互独立
,其中,是水平Ai的效应,是水平Bj的效应,称为水平Ai和Bj的交互效应。
原假设:
现构造了3个F统计量来分别检验假设,原理略
定义
Anova_Twice (Y:Array of Real;alpha:Real):array;
参数
名称类型说明
YArray of Real数据矩阵,为二维数组类型,每rep行,每一列表示一个交叉项
AlphaReal显著性水平,实数或整数,在01之间
Rep:每一个交叉项,做rep次试验,rep=1时,没有交叉效应为0的假设
  • 范例

    在某指标,因素A和因素B有3个水平,对A、B分别进行2次重复试验,获得观察值如下:
    x:= array((75.00,81.00,74.00),(75.00,81.00,73.00),(62.00,85.00,79.00),(71.00,68.00,60.00), (58.00,92.00, 75.00),(73.00,90.00,81.00));
    现在显著性水平0.05下,判断以上因素A和B对某指标是否有显著影响
    x:= array((75.00,81.00,74.00),(75.00,81.00,73.00),(62.00,85.00,79.00),(71.00,68.00,60.00), (58.00,92.00,75.00),(73.00,90.00,81.00));
    return Anova_Twice(x,0.05,2);

    结果:

    因素A:结果表示接受原假设,即因素A对某指标无显著影响
    因素B:结果表示拒绝原假设,即因素B对某指标影响显著
    交叉效应:结果表示拒绝原假设,即交叉效应对某指标影响显著
    参考
    Anova_Single Anova_Bartlett Anova_Levene 
相关