天软金融分析.NET函数大全 > 金融函数 > 专题函数 > 衍生品分析 > 期货专项 > 股指期货:天软股指期货指标与分红点测算计算说明 > 因子汇总

FuturesTimeValue    

简述
时间价值,与系统证券代码相关
定义
FuturesTimeValue (Endt:Date;r: Real;PredictType:Int):Real;
参数
名称类型说明
EndtDate日期类型,截止日
r Real实数型,年化利率(%)。支持用户传入,用户没传入时,使用隐含利率(%)模型FuturesImpliedRate。
PredictTypeInt整型,预测方式
取值 返回
0 V1(默认)
1 V12
返回Real实数,时间价值。
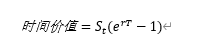
  • 算法

    范例

      SetSysParam(PN_Stock(),"IF2409");
      EndT := 20240301T;
      return FuturesTimeValue(Endt);    //26.3782
相关