TSL语言基础 > 数学与统计教程 > 统计推断 > 参数估计

单正态总体参数区间估计    

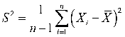
  •   假设总体是来自总体的简单随机样本;是样本均值,是样本方差,是样本极差,是样本容量。
      的最优点估计为;区间估计分两种情况:已知及未知
               (6.2)
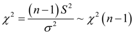
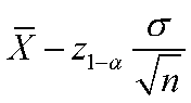
      由得到:
          (6.3)
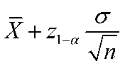
      同理可以求得的单侧置信下界:,单侧置信上界.
    ,其中    (6.4)
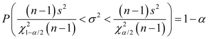
      同样由得到:
         (6.5)
      同理可以求得的单侧置信下界:,单侧置信上界

    标准差未知和已知两种情况求单个正态总体均值的置信区间模型Estimate_SNU

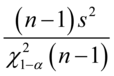
                (6.6)
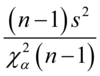
      同样由得到:
            (6.7)
      同理可以求得的单侧置信下界:,单侧置信上界.

    求单个正态总体方差的置信区间模型Estimate_SND
相关