StockSCZL_JGCJZS
简述
市场质量-价格冲击指数(%)。
价格冲击指数衡量一定金额(或股票数量)的交易对市场价格的冲击程度,价格冲击指数越高,交易成本越高市场冲击成本衡量即时成交的价格变化,由流动性溢价和逆向价格运动成本两部分组成。
流动性溢价即买卖价差,对买单来说,流动性溢价是当前最佳卖价与最佳买卖价中点的差额,对卖单来说,则是当前最佳买价与最佳买卖价中点的差额。
如果订单数量超过最佳买(卖)价位上的数量,则该订单将分多次撮合,并导致价格出现逆向变化(买入价格上升,卖出价格下降),即逆向价格运动成本。
与当前证券、时间有关,不复权,与周期无关,计算的是当前时间所在日的指标结果。
StockSCZL_JGCJZS(Q:real;returntype:Integer):real
| 名称 | 类型 | 说明 |
|---|
| Q | real | 实数,买卖金额(元) |
| returntype | Integer | 整型,返回类型
|
显示名 |
取值 | |
冲击成本算术平均 |
0 | |
冲击成本最大值 |
1 | |
冲击成本最小值 |
2 | |
冲击成本标准差 |
3 | |
买冲击成本算是平均 |
4 | |
卖冲击成本算术平均 |
5 | |
冲击成本指数详细信息 |
其它 |
|
设

分别表示股票i在t时刻限价订单薄中的多个卖出价格,且

,

分别表示

所对应的数量;

分别表示股票i在t时刻限价订单薄中的多个买入价格,其中

,

分别表示

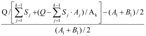
所对应的数量,则在t时刻购买Q金额股票i的价格冲击指数为:

,
其中

(若K不存在,则用空值表示)
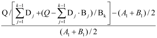
t时刻卖出Q金额股票i的价格冲击指数为:

,
其中

(若K不存在,则用空值表示)
d日冲击指数即按照returntype 对d日内所有时刻的冲击成本做相应的统计。
//计算平安银行2018年8月22日买卖金额为1000000的冲击成本平均
SetSysParam(PN_Stock(),'SZ000001'); //设置股票代码
SetSysParam(PN_Date(),20180822T); //设置日期时间
Return StockSCZL_JGCJZS(1000000,0);
//返回:0.08//即平安银行2018年8月22日买卖金额为1000000的冲击成本平均为0.08%。