天软金融分析.NET函数大全
>
TSL函数
>
数学函数
>
统计分布
sf_Normal
复制链接
简述
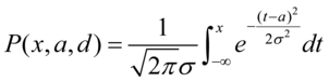
正态分布函数的定义为
其中:
(1)a为随机变量的数学期望(平均值)
(2)σ为随机变量的标准差
定义
sf_Normal(x : double; a : double; d : double; var v : double) : integer;
参数
名称
类型
说明
x
double
实型变量。随机变量值
a
double
实型变量。数学期望值
d
double
实型变量。标准值
范例
x:=0;
a:=0;
d:=1;
sf_Normal(x,a,d,v);
return v;
//结果:0.5
参考
sf_t
sf_X2
sf_F
相关
分布函数
Hist
sf_Gamma
Gamma
Gammaln
sf_Beta
sf_IncompleteGamma
sf_Error
erf
erfinv
erfc
erfcinv
sf_IntegerBessel_1
sf_IntegerBessel_2
sf_RealBessel_1
sf_RealBessel_2
sf_IncompleteBeta
sf_Normal
sf_t
sf_X2
sf_F
sf_normalinv
sf_normalinv2
sf_normpdf
sf_normcdf
sf_norminv
Randnorm
Normfit
sf_unidpdf
sf_unidcdf
sf_unidinv
Randunid
sf_geopdf
sf_geocdf
sf_geoinv
Randgeo
sf_hygepdf
sf_hygecdf
sf_hygeinv
Randhyge
sf_binopdf
sf_binocdf
sf_binoinv
Randbino
binofit
sf_nbinpdf
sf_nbincdf
sf_nbininv
Randnbin
sf_unifpdf
sf_unifcdf
sf_unifinv
Randunif
uniffit
sf_poisspdf
sf_poisscdf
sf_poissinv
Randpoiss
poissfit
sf_exppdf
sf_expcdf
sf_expinv
Randexp
expfit
sf_ch2pdf
sf_ch2cdf
sf_ch2inv
Randch2
sf_tpdf
sf_tcdf
sf_tinv1
Randt
sf_tinv
sf_finv
sf_x2inv
sf_fpdf
sf_fcdf
sf_finv1
Randf
sf_gampdf
sf_gamcdf
sf_gaminv
sf_gammainv
Randgam
sf_betapdf
sf_betacdf
sf_betainv
Randbeta
sf_raylpdf
sf_raylcdf
sf_raylinv
Randrayl
sf_wblpdf
sf_wblcdf
sf_wblinv
Randwbl
sf_lognpdf
sf_logncdf
sf_logninv
Randlogn
sf_Laplacepdf
sf_Laplacecdf
sf_Laplaceinv
RandLaplace
sf_Cauchypdf
sf_Cauchycdf
sf_Cauchyinv
RandCauchy
sf_betainv1
sf_mvtcdf
Mvtcdfqmc
sf_mvncdf
sf_copulacdf
sf_copulafit
RandCopula
sf_exp
Norminv