FAQ > 金融建模 > 建模问题 > 债券相关

Q:天软能不能计算债券的收益率?    

  • A:能。用户可参考模型BondYieldToMaturity
    模型中提供3种情况:
    1)最后付息周期的定期付息债;
    算法:

    其中:
    Y:到期收益率;
    FV:到期兑付日债券本息和;
    PV:债券全价;
    D:债券结算日至到期兑付日的实际天数;
    TY:当前计息年度的实际天数
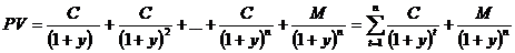
    2)不处于最后付息周期的定期付息债;
    算法:

    PV:债券全价;
    FV:到期兑付日债券本息和;
    Y:到期收益率;
    D:结算日至下一个最近理论付息日的实际天数;
    M:结算日至到期兑付日的整年数;
    TY:当前计息年度的实际天数;
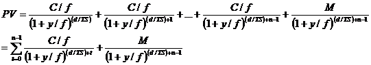
    3)到期一次还本付息&零息债券;
    算法:

    实务上到期收益率

    其中:
    PV:债券全价;
    c:票面年利息;
    f:年付息频率;
    Y:到期收益率;
    D:结算日至下一个最近付息日的实际天数;
    M:债券面值;
    N:结算日到到期日的债券付息次数;
    Ts:当前付息周期的实际天数;
    [关键字]:债券收益率、债券的收益率、债券