TSL语言基础 > 数学与统计教程 > 时间序列分析

ARMA模型    

  •   ARMA模型全称自回归平均模型,它是对平稳时间进行拟合的最常用的一种模型,它又细分为AR模型,MA模型,ARMA模型这三类。
      一般的ARMA模型可以表示为:

      其中是白噪声序列,p,q是不小于0的整数
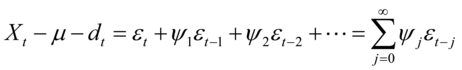
      wold分解定理:任何协方差平稳过程,都可以被表为

      其中表示的期望.表示的线性确定性成分,如周期性成分、时间t的多项式和指数形式等,可以直接用滞后值预测.为白噪声过程。

      我们可以将ARMA模型的建模准备工作归纳如图8-1所示。

    图8-1 时间序列ARMA建模准备
内容