距离判别简单直观,很实用,但是距离判别的方法把总体等同看待,没有考虑到总体会以不同的概率(先验概率)出现,也没有考虑误判之后所造成的损失的差异。一个好的判别方法,既要考虑到各个总体出现的先验概率,又要考虑到错判造成的损失,Bayes判别就具有这些优点,其判别效果更加理想,应用也更广泛。
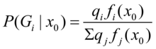
设有总体

,具有概率密度函数

。并且根据以往的统计分析,知道

出现的概率为

。即当样本

发生时,求他属于某类的概率。由贝叶斯公式计算后验概率,有:

(4-16)
则

判给

。在正态的假定下,

为正态分布的密度函数。